Home
LJFCについて
LJFCのVision
LJFCの信仰
LJFCの牧師
教会Q&A
Ministry
Sunday
バイブルスタディ
学生
Oak Harbor キャンパス
礼拝メッセージ
Contact us
エドモンズ
オークハーバー(北キャンパス)
English
Home
>
聖書通読表
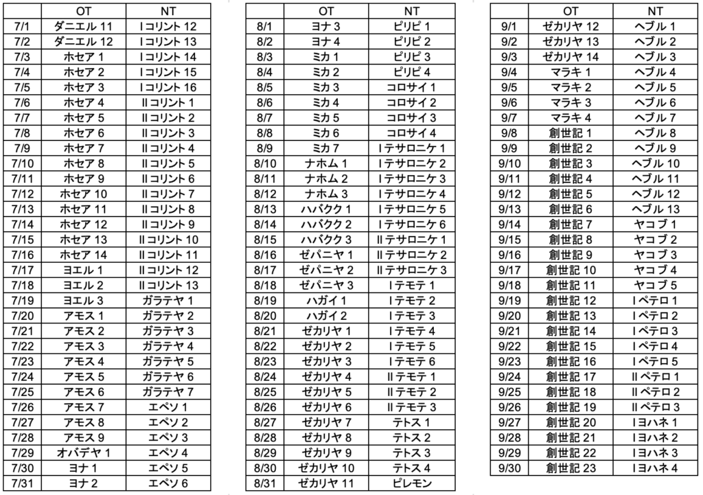
聖書通読表
みんなで一緒に聖書を読みましょう。毎日旧約聖書1章、新約聖書1章です。
2025年
2026年